§ Lėvizja drejtvizore njėtrajtėsisht e ndryshuar. Nese shpejtesia e levizjes se trupit sipas trajektores drejtvizore nuk eshte konstante, themi se trupi
kryen lėvizje drejtvizore tė ndryshuar. Kėtė lloj lėvizjeje e vėrejmė gjatė frenimit ose nisjes sė automjetit nė kryqėzimet e pajisura me semafor. Nė
rastin e parė, shpejtėsia e automjetit zvogėlohet, ndėrsa nė rastin e dytė shpejtėsia rritet.
§ Nxitimi. Nėse trupi
gjatė lėvizjes drejtvizore ka shpejtėsinė
nė ēastin
e kohės t1 dhe shpejtėsinė
nė ēastin
t2 ,
pėr tė vlerėsuar ritmin e ndryshimit tė shpejtėsisė, gjatė intervalit tė kohės, ∆t = t2 t1 , pėrkufizojmė nxitimin mesatar, me anė tė shprehjes:
(1)
Nxitimi
mesatar ėshtė madhėsi vektoriale, drejtimi dhe kahu i tė cilit ėshtė i njėjtė
me atė tė ndryshimit tė shpejtėsisė
. Madhėsia e tij
ėshtė e
barabartė me raportin e madhėsisė sė ndryshimit tė shpejtėsisė me intervalin e kohės ∆t. Nė sistemin ndėrkombėtar tė njėsive, SI, njėsia matėse e nxitimit,
ėshtė m/s2. Pėr rastin e lėvizjes drejtvizore, meqė shpejtėsitė janė sipas njė drejtimi, p.sh.OX, pėr nxitimin mesatar mund tė pėrdorim barazimin:
(2),
Sa mė i vogėl tė jetė intervali kohor ∆t aq mq shumė nxitimi mesatar i afrohet verės sė nxitimit tė ēastit ames → a
Psh Automjetit i ndaluar nė kryqėzim, fillon tė lėvizė kur lejohet nga semafori (fig 1). Nė tabelėn ngjitur ėshtė paraqitur vendndodhja x, zhvendosja ∆x ,
vlerat e shpejtėsisė v dhe ndryshimi i shpejtėsisė ∆v pas ēdo intervali kohe prej ∆t = 5 sekondash
Fig. 1
Vihet re, se nė ēdo interval kohe ∆t = 5 s , vlera numerike e shpejtėsisė ndryshon (rritet) me ∆v = 10 m/s . Pra, automjeti fillon tė lėvizė nė mėnyrė tė tillė qė gjatė intervalesh kohe tė njėjta, shpejtėsia ndryshon (rritet) me madhėsi tė njėjtė. Kjo lėvizje quhet drejtvizore njėtrajtėsisht e ndryshuar.
Nė pėrgjithėsi, themi se njė trup kryen lėvizje drejtvizore njėtrajtėsisht tė ndryshuar, kur shpejtesia e tij ndryshon (rritet ose zvogelohet) me te njejten madhesi, gjate intervalesh
kohe te njejta. Nėse shpejtėsia e trupit rritet, lėvizja quhet drejtvizore njėtrajtėsisht e pėrshpejtuar (rasti i nisjes sė automjetit, i cili ėshtė paraqitur nė mėnyrė skematike nė
fig. 2.a. Kur shpejtėsia e trupit zvogėlohet, lėvizja quhet drejtvizore njėtrajtėsisht e ngadalėsuar, e cila ėshtė paraqitur nė mėnyrė skematike nė fig.2b.
Fig.2
Pėr lėvizjen drejtvizore njėtrajtėsisht tė ndryshuar, nxitimi mesatar dhe nxitimi i ēastit, janė tė barabartė dhe nuk
ndryshojnė me kohėn:
(3)
Nėse pranojmė qė: v1=v0 nė ēastin fillestar t1=0 dhe v2=v nė ēastin e kohės t2=t, atėherė shpejtėsia e trupit nė ēdo ēast
kohe, pėrcaktohet nga shprehja:
v=v0+a.t (4)
Duke iu rikthyer shembullit tė automjetit, nxitimi i lėvizjes sė tij ėshtė: a = Δv/Δt = 2 m/s2 . Nė figurėn 3a ėshtė paraqitur pėr automjetin varėsia e nxitimit nga koha (a > 0).
Pėr njė lėvizjė njėtrajtėsisht tė ngadalėsuar (a < 0) ky grafik do ishte si nė fig. 3.b. Nė figurėn 4a ėshtė paraqitur varėsia e shpejtėsisė sė automjetit, e cila ėshtė nė
pėrpjestim tė drejtė me kohėn, me koeficient
kėndor sa nxitimi i lėvizjes (koeficienti kėndor =
):

Fig. 3 Fig. 4 Fig. 5 Fig. 6
Nė pėrgjithėsi, pėr lėvizjen drejtvizore njėtrajtėsisht tė ndryshuar, grafiku i varėsisė sė shpejtėsisė nga koha paraqet funksion pėrpjesėtimor [(rritės pėr lėvizjen njėtrajtėsisht tė pėrshpejtuar (fig. 4a) dhe zbritės pėr lėvizjen njėtrajtėsisht tė ngadalėsuar, (fig. 4b) me koeficient kėndor sa nxitimi i lėvizjes].
§ Varėsia e vendndodhjes nga koha
Pėr tė gjetur varėsinė e vendndodhjes nga koha, shfrytėzojmė faktin se nė grafikun e varėsisė sė shpejtėsisė nga koha, zhvendosjen e llogaritim me shprehjen:
∆x = Sipėrfaqen e figurės,
ku figiura, nė rastin tonė ėshtė treguar nė fig. 5.b (trapezi i ngjyrosur):
Prandaj:
(5)
Pėr shembullin e lėvizjes sė automjetit, ndėrtojmė varėsinė e vendndodhjes nga koha, e cila ėshtė njė parabolė (fig. 6) Kur shpejtėsia ndryshon nė mėnyrė tė njėtrajtshme (pra lėvizje me nxitim konstant), shpejtėsia mesatare e lėvizjes ėshtė mesatarja midis shpejtėsisė fillestare dhe pėrfundimtare e llogaritur me shprehjen:
(6)
Me anė tė formulave (3) dhe (5), gjejmė:
(7)
Detyrė Shikoni me kujdes
fotografimet e njėpasnjėshme tė bilės (sferė bilardoje) me numėr 13, qė
rrokulliset nė planin e pjerrėt me nxitim konstant. Shkrepjet e aparatit
kryehen pas intervalesh kohe tė barabarta, megjithatė intervalet hapsinore
midis pozicioneve tė njėpasnjėshme tė bilės rriten me kalimin e kohės, Pėrse?
Krahasoni pozicionet e bilės dhe tė automjetit nė fig. 1. Ēfarė kanė tė
pėrbashkėt dhe nga se ndryshojnė ato?
§ Rėnia e lirė
Duke analizuar rezultatet e matjeve eksperimentale tė kryera prej tij, Galileo arriti nė pėrfundimin se:
Prane siperfaqes se Tokes, kur nuk merret parasysh ferkimi i ajrit, te gjithe trupat bien lirisht me te njejtin nxitim konstant te drejtuar vertikalisht poshte.
Nxitimi i rėnies sė lirė shėnohet me g , madhėsia i tė cilit pranė sipėrfaqes sė Tokės
Ėshtė: g = 9.8 m/s2.
Nė eksperimentin e paraqitur nė fig. 7a, vihet re se nė prani tė ajrit, pupla dhe monedha nuk bien nė tė njėjtėn kohė. Nė rastin kur eksperimenti pėrsėritet nė tub,
ku nuk ėshtė i pranishėm ajri, ato bien njėkohėsisht.
Nė figurėn 7b janė paraqitur fotografimet e njėpasnjėshme tė kryera nė intervale kohe tė njėjta gjatė rėnies sė lirė tė sferės dhe puplės
Meqė rėnia e lirė
ėshtė lėvizje drejtvizore me nxitim konstant, pėr ta pėrshkruar atė pėrdoren
ekuacionet kinematike tė lėvizjes drejtvizore njėtrajtėsisht tė ndryshuar.
Zakonisht, si bosht koordinativ boshti vertikal zgjidhet OY, prandaj nė
ekuacionet kinematike (4 -7) bėhen zėvendėsimet:
x → y ; x0 → y0 ; a → g
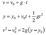
Merren kėshtu formulat pėr rėnien e lirė :

Fig. 7
§ Detyra
1. Njė tren qė udhėton
me shpejtėsi 180 km/h, fillon tė frenojė dhe ndalon pas 15 s. Pėrcaktoni:
a) nxitimin e
frenimit;
b) zhvendosjen e
trenit nga ēasti qė fillon tė frenojė derisa ndalet
2. Nė grafikun e figurės 8 paraqitet
varėsia e shpejtėsisė nga koha e njė trupi . Pėrcaktoni:
a) nxitimin e
ēastit nė t = 10 s dhe t = 30 s;
b) nxitimin mesatar gjatė 40 s;
c) zhvendosjen e trupit gjatė intervalit 0 - 20 s; 20 s - 40 s; 0 - 40 s.
Fig.8
3. Njė gur hidhet vertikalisht lart me shpejtėsi fillestare 18 m/s. Sa ėshtė shpejtėsia e tij kur arrin lartėsinė 11 m? Pas sa kohe ndodhet nė kėtė lartėsi? Shpjegoni pse marrim dy vlera tė kohės. Ndėrtoni grafikun e varėsisė sė vendndodhjes, shpejtėsisė dhe nxitimit nė funksion tė kohės pėr situatat e mėposhtme:
a)
trupi lihet i lirė (pa shpejtėsi fillestare) nga lartėsia 50 m kundrejt Tokės;
b)
trupi hidhet vertikalisht lart me shpejtėsi fillestare 35 m/s dhe kthehet nė
pikėn e nisjes.
4. Njė fėmijė lėshon nga njė shkėmb njė gur vertikalisht
lart me shpejtėsi 16 m/s. Duke ditur se lartėsia e shkėmbit ku hidhet guri
ėshtė 20 m, pėrcaktoni:
a) lartėsinė maksimale tė ngjitjes sė gurit;
b) rrugėn e plotė qė ka pėrshkuar guri;
c) kohėn e plotė tė fluturimit tė gurit;
ē) shpejtėsinė me tė cilėn guri godet Tokėn
Appleti paraqet lёvizjen
drejtvizore tё dy trupave (automjetet: njeri blu dhe tjetri i kuq) me
nxitim konstant. Vlerat fillestare tё koordinates,
shpejtёsisё dhe mxitimit tё secilit trup, zgjidhen me
anё tё butonave rёshqitёs. Pozicionet fillestare mund
tё zgjidhen nga 0 nё 30 m, shpejtёsitё fillestare mund
tё zgjidhen nga 0 nё 10 m/s, ndёrsa nxitimet mund tё
zgjidhen nga -2 m/s2 nё + 2 m/s2. Pasi i keni
zgjedhur vlerat filestare, klikoni mbi butonin Luaj. Vini re se si
ndryshojnё vlerat e kordinatave x te secilit trup me kalimin e kohe t.
Shtypni butonin Pauze pёr ta ndalur lёvizjen. Shtypni butonin
Rivendos pёr tё rifilluar eksperimentin. Duke klikuar mbi butonet
Hap >> ose << Hap mund tё zhvendosni trupat me njё hap
kohor para ose mbrapsht.
Kryeni eksperimentin me vlera tё ndryshme tё shpehjtёsive dhe
nxitimeve. Vini re sidomos kur zgjidhni shpejtёsi pozitive dhe nxitim
negartiv, lёvizja nё fillim ёshtё
njёtrajtёsisht e ngadalёsuar derisa trupi ndalet dhe pastaj
trupi kthehet mbrapsht dhe lёvizja pёrshpejtohet nё kahe
tё kundёrt. Duke lexuar vlerat e kohёs dhe rrugёs,
qё janё llogaritur nga Applet-i nё bazё tё
formulё (5), ndёrtoni grafikёt e varёsisё
sё rrugёs nga koha.
Automjeti 1 (i kuq), vlerat filestare
Koordinata: 0 m
+30 m
0
Shpejtesia:
0 m/s
10 m/s
1
Nxitimi:
-2 m/s/s
2 m/s/s
0
Automjeti 2 (blu), vlerat fillestare
Kordinata: 0 m
+30 m
0
Shpejtesia:
0 m/s
10 m/s
6
Nxitimi:
-2 m/s/s
2 m/s/s
0